The Conversation (0)
Sign Up

Write the question

Draw two arrows from both equations

Keep top line the same

Times bottom by two

Cross out both Ys as they will equal 0 and find the answer to X and the equals

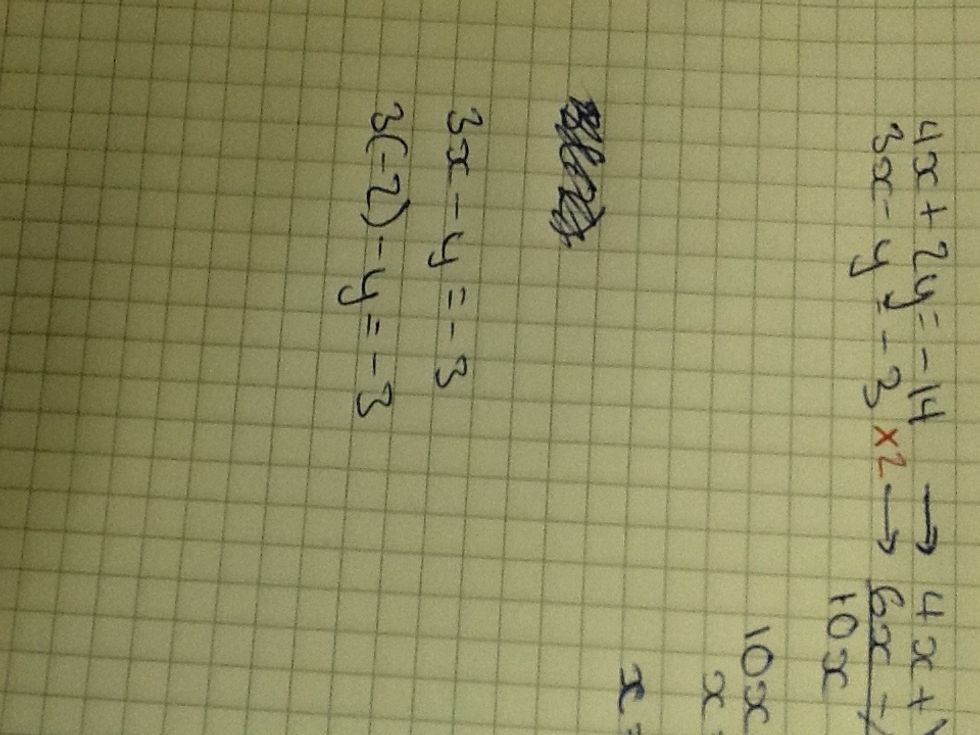
Work out X by dividing the 10X and the -20 getting X as -2

To find Y rewrite the bottom equation and substitute X for from the previous answer being -2

Work out the new equation

Move all numbers to the right remember to change symbol figure out right side to find Y