The Conversation (0)
Sign Up

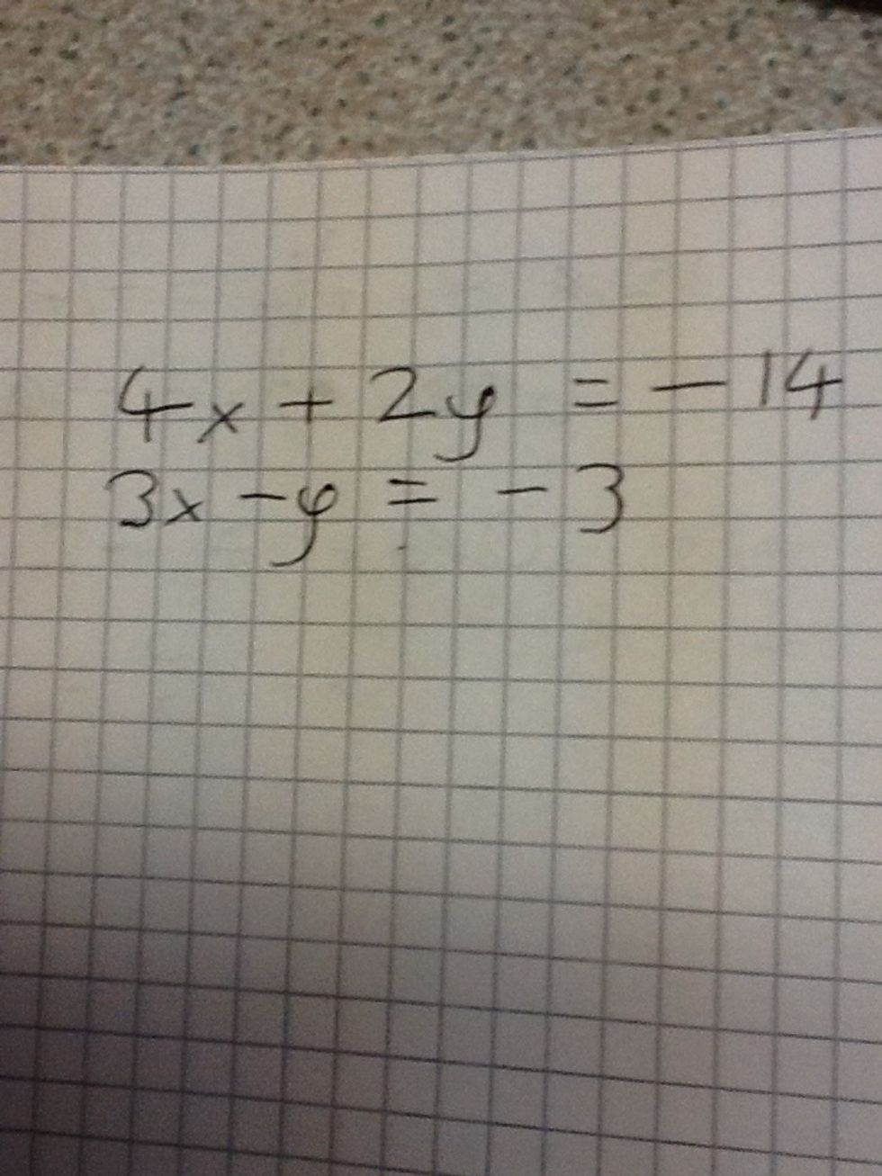
Solve this simultaneous equation

First step make one of the letters the same in this case Y has been made the same

Cancel out the letter that has been made the same

The next step is to add the first and second line

Now find out what x is and in this case it's -2

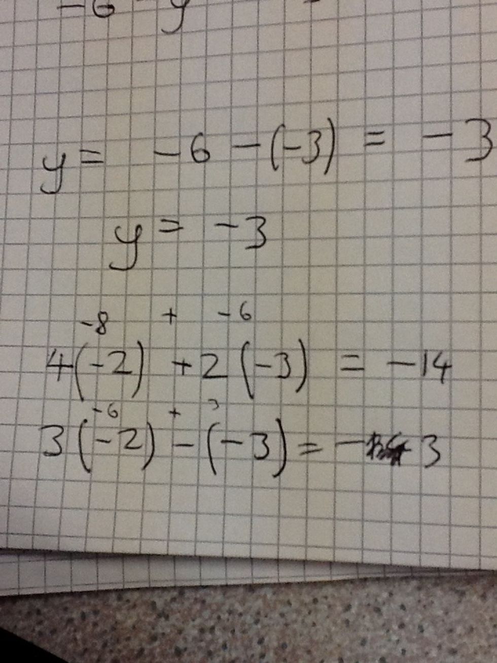
Now chose one of the original lines and add in what u no ....in this case we know X is -2 and continue to work it out

Now you know this you can work out Y is

Then check to is your answers are correct by putting it into the one of the original equation