How to solve simultaneous equations

Solve Simultaneous Equations

108
STEPS
TOOLS

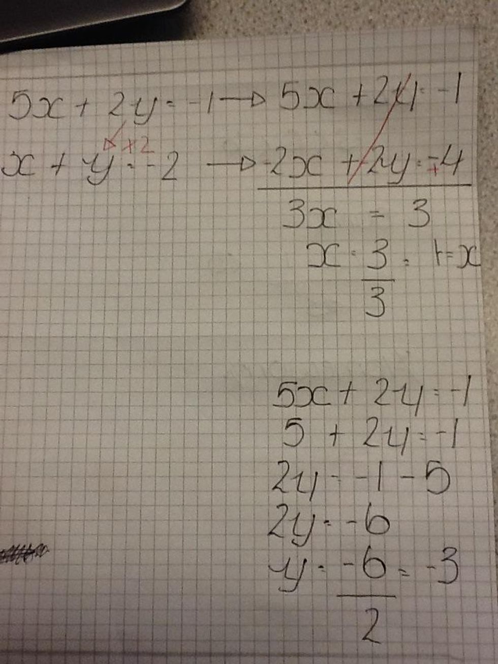
This is the equation that we need to solve

This is the equation that we need to solve

The second step... We wanted to keep the top row the same so we just copied it out on the other side of the arrow

The second step... We wanted to keep the top row the same so we just copied it out on the other side of the arrow

The third step... We then Decided which one we warned to change x or y... We wanted to change y to do that we had times  everything in the bottom row by 2 ... Then copied it like the top row

The third step... We then Decided which one we warned to change x or y... We wanted to change y to do that we had times everything in the bottom row by 2 ... Then copied it like the top row

To create 0 out of the y's we had to change positives to negatives and negatives to positive

To create 0 out of the y's we had to change positives to negatives and negatives to positive

Because the y's cancelled out each other we put a line through them as we don't need then anymore

Because the y's cancelled out each other we put a line through them as we don't need then anymore

Because we cancelled out the y's we worked it what we were left with which was 5x-2x equalling 3x and -1+4 which equals 3

Because we cancelled out the y's we worked it what we were left with which was 5x-2x equalling 3x and -1+4 which equals 3

We broke 3 away from x because they were joined by being timed, so we did the opposite and divided then

We broke 3 away from x because they were joined by being timed, so we did the opposite and divided then

Now because we have worked out x we need to work out y

Now because we have worked out x we need to work out y

To get 5 we multiplied 5x by what we worked out x was which was 1,

To get 5 we multiplied 5x by what we worked out x was which was 1,

Because we wanted to only know y we moved 5 over the equals sign was was then -5

Because we wanted to only know y we moved 5 over the equals sign was was then -5

We then done the workings it -1-5 which was-6

We then done the workings it -1-5 which was-6

Once we divided it we got -3

Once we divided it we got -3

Out final working of the equation

The creator of this guide has not included tools